2026-02-0360
離子交換樹脂是一種能實現離子精準分離、提純與回收的功能材料,它憑借獨特的結構和工作原理,成為冶金、化工、半導體、飲用水凈化等多個行業的離子調控高手。今天就來拆解它的核心原理,講講它能橫掃多領域的關鍵優勢。
一、離子交換樹脂是什么?
離子交換樹脂是不溶于水和常見溶劑的三維網狀高分子聚合物,核心結構由骨架和官能團兩部分組成,缺一不可:
1. 聚合物骨架
由苯乙烯與二乙烯基苯等原料共聚而成,是樹脂的穩定支撐體。它質地堅固且多孔,確保樹脂在各類溶液體系中不會溶解,僅發生輕微溶脹。
2.可電離官能團
離子交換樹脂的核心功能,源于其表面接枝的可電離官能團,這是區分不同樹脂應用場景的基礎。
陽離子交換樹脂的結構如圖a所示,它具有帶負電荷的可電離官能團,可在溶液中交換帶正電荷的抗衡離子;
陰離子交換樹脂如圖b所示,具有帶正電荷的可電離官能團,可在溶液中交換帶負電荷的抗衡離子;
混合床樹脂則結合了陽離子交換樹脂和陰離子交換樹脂,可有效從溶液中去除兩類離子。
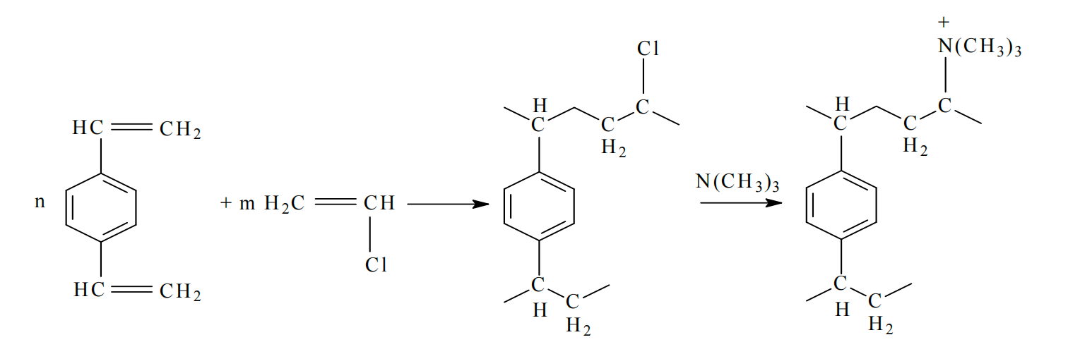
反應示例:通過二乙烯基苯與氯乙烯的共聚反應,按照圖中所示方案進行氨基接枝,即可獲得弱堿性和強堿性陰離子交換樹脂。
根據其表面接枝的官能團性質,樹脂主要分為四大類,其差異直接影響處理對象和pH適應范圍:
而科海思擁有嫁接了多種高選擇性官能團的離子交換樹脂,可針對不同溶液場景,選擇性吸附目標離子而不干擾其他離子。
二、樹脂的離子交換原理
離子交換樹脂的核心作用原理,是基于靜電作用的可逆離子置換反應。樹脂官能團上的可交換離子,會與溶液中的目標離子進行等量交換,從而實現離子的分離、提純或去除。
主要分為兩種反應模式:
1. 陽離子交換反應:樹脂官能團上的可交換陽離子(如H?、Na?),會與溶液中的陽離子(如重金屬離子、鈣鎂離子)發生置換。
舉兩個不同行業的例子:
·飲用水軟化:樹脂釋放Na?,捕獲水中的Ca2?、Mg2?,降低水的硬度,反應式可簡化為:
·冶金行業金屬回收:強酸性陽離子樹脂釋放H?,吸附礦液中的Cu2?、Ni2?,實現貴金屬富集提純。
2. 陰離子交換反應
樹脂官能團上的可交換陰離子(如OH?、Cl?),會與溶液中的污染陰離子或目標陰離子置換。
典型應用場景:
半導體超純水制備:強堿性陰離子樹脂釋放OH?,去除水中微量的Cl?、SO?2?等雜質陰離子,滿足芯片生產的超高水質要求;
化工行業除硝酸鹽:樹脂吸附廢水中的NO??,實現達標排放或資源回收。
關鍵特性:離子交換反應是可逆的。
當樹脂吸附飽和后,用特定濃度的酸、堿或鹽溶液處理,就能將截留的離子置換出來,樹脂可恢復吸附能力,循環使用。
三、為什么離子交換樹脂能橫掃多領域?
1. 高效精準,滿足嚴苛標準
它能捕捉溶液中痕量級的目標離子,無論是飲用水中微克級的重金屬,還是半導體超純水中的微量雜質,都能被高效截留。處理精度高,輕松滿足各行業的嚴格指標要求。
2. 可重復再生,降低運行成本
樹脂吸附飽和后無需丟棄,通過再生工藝即可恢復性能,循環使用次數可達數十次甚至上百次。這不僅減少了危廢產生量,還大幅降低了各行業的耗材成本。
3. 資源回收增值,變廢為寶
再生過程中,被置換出來的離子會被富集濃縮。冶金行業可回收貴金屬,化工行業可回收有用原料,實現“處理污染+資源再生”的雙重收益。
4.適用范圍廣,覆蓋多行業需求
從飲用水凈化、工業廢水處理,到冶金金屬回收、化工提純、半導體超純水制備,再到醫藥行業的藥物提純、食品行業的糖液脫色,離子交換樹脂都能發揮關鍵作用,是名副其實的多面手。
四、小總結
離子交換樹脂靠“聚合物骨架+可電離官能團”的獨特結構,通過可逆離子置換反應,實現對溶液中離子的精準調控。它高效、可循環、適配性強的特點,讓它在水與溶液治理的全領域大放異彩,為各行業的綠色發展和高質量生產提供了核心支撐。
了解水處理工藝或案例詳情
請掃描下方二維碼
技術熱線:400-838-8151
